
令和7年度雇用保険料率が変更になります!
令和6年6月2日から、労働保険の年度更新手続が開始されます!
労働保険料の算定方法は、4月1日から翌年3月31日までに支払う賃金総額に保険料率を乗じて得た額となります。
(算定対象期間)
令和6年度確定保険料・・・令和6年4月1日から令和7年3月31日まで
令和7年度概算保険料・・・令和7年4月1日から令和8年3月31日まで
○ 労働保険料を延納(分割納付)する場合の納付期限については以下のとおりとなります。
|
4/1~5/31に成立した事業場 |
6/1~9/30に成立した事業場 |
|||||
|
第1期(初期) |
第2期 |
第3期 |
第1期(初期) |
第2期 |
||
|
期間 |
4.1~7.31 |
8.1~11.30 |
12.1~3.31 |
成立した日~11.30 |
12.1~3.31 |
|
|
納期限 |
7月10日 |
10月31日 |
翌年1月31日 |
成立した日から50日 |
翌年1月31日 |
|
※納期限が休日の場合は、翌営業日が納期限となります。
※一般拠出金の額 → 令和3年度賃金総額×0.02/1000
※概算保険料総額が40万円以上(労災保険または雇用保険のみ加入は20万円以上)又は労働保険事務組合に労働保険事務の処理を委託している場合に延納することができます。
お忘れのないよう、お手続きを。
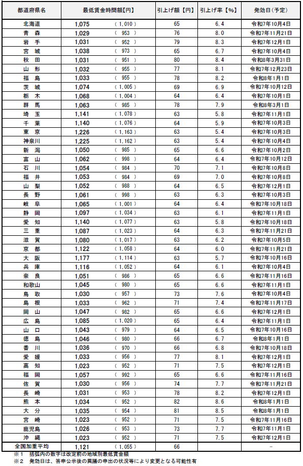
各都道府県の令和7年度地域別最低賃金額及び発行年月日は、以下のとおりです。
【地域別最低賃金の全国一覧】
令和7年4月1日から令和8年3月31日までの雇用保険料率は以下のとおりです。
・失業等給付等の保険料率は、労働者負担・事業主負担ともに5.5/1,000に変更になります。
(農林水産・清酒製造の事業及び建設の事業は6.5/1,000に変更になります。)
・雇用保険二事業の保険料率(事業主のみ負担)は、引き続き3.5/1,000です。
(建設の事業は4.5/1,000です。)
詳細な料率表はこちら。
令和7年度の健康保険料率、介護保険料率が令和6年3月1日(4月納付期限分)から改定されます。


令和7年度の協会けんぽの健康保険料率及び介護保険料率は、本年3月分(4月納付分)*からの適用となります。 皆さまのご理解をお願い申し上げます。
*任意継続被保険者及び日雇特例被保険者の方は4月分(4月納付分)から変更となります。
令和7年度都道府県単位保険料率
|
|
令和7年度 |
↑:引上げ |
令和6年度 |
|
北海道 |
10.31% |
↑ |
10.21% |
|
青森県 |
9.85% |
↑ |
9.49% |
|
岩手県 |
9.62% |
↓ |
9.63% |
|
宮城県 |
10.11% |
↑ |
10.01% |
|
秋田県 |
10.01% |
↑ |
9.85% |
|
山形県 |
9.75% |
↓ |
9.84% |
|
福島県 |
9.62% |
↑ |
9.59% |
|
茨城県 |
9.67% |
↑ |
9.66% |
|
栃木県 |
9.82% |
↑ |
9.79% |
|
群馬県 |
9.77% |
↓ |
9.81% |
|
埼玉県 |
9.76% |
↓ |
9.78% |
|
千葉県 |
9.79% |
↑ |
9.77% |
|
東京都 |
9.91% |
↓ |
9.98% |
|
神奈川県 |
9.92% |
↓ |
10.02% |
|
新潟県 |
9.55% |
↑ |
9.35% |
|
富山県 |
9.65% |
↑ |
9.62% |
|
石川県 |
9.88% |
↓ |
9.94% |
|
福井県 |
9.94% |
↓ |
10.07% |
|
山梨県 |
9.89% |
↓ |
9.94% |
|
長野県 |
9.69% |
↑ |
9.55% |
|
岐阜県 |
9.93% |
↑ |
9.91% |
|
静岡県 |
9.80% |
↓ |
9.85% |
|
愛知県 |
10.03% |
↑ |
10.02% |
|
三重県 |
9.99% |
↑ |
9.94% |
|
滋賀県 |
9.97% |
↑ |
9.89% |
|
京都府 |
10.03% |
↓ |
10.13% |
|
大阪府 |
10.24% |
↓ |
10.34% |
|
兵庫県 |
10.16% |
↓ |
10.18% |
|
奈良県 |
10.02% |
↓ |
10.22% |
|
和歌山県 |
10.19% |
↑ |
10.00% |
|
鳥取県 |
9.93% |
↑ |
9.68% |
|
島根県 |
9.94% |
↑ |
9.92% |
|
岡山県 |
10.17% |
↑ |
10.02% |
|
広島県 |
9.97% |
↑ |
9.95% |
|
山口県 |
10.36% |
↑ |
10.20% |
|
徳島県 |
10.47% |
↑ |
10.19% |
|
香川県 |
10.21% |
↓ |
10.33% |
|
愛媛県 |
10.18% |
↑ |
10.03% |
|
高知県 |
10.13% |
↑ |
9.89% |
|
福岡県 |
10.31% |
↓ |
10.35% |
|
佐賀県 |
10.78% |
↑ |
10.42% |
|
長崎県 |
10.41% |
↑ |
10.17% |
|
熊本県 |
10.12% |
↓ |
10.30% |
|
大分県 |
10.25% |
→ |
10.25% |
|
宮崎県 |
10.09% |
↑ |
9.85% |
|
鹿児島県 |
10.31% |
↑ |
10.13% |
|
沖縄県 |
9.44% |
↓ |
9.52% |
※40歳から64歳までの方(介護保険第2号被保険者)は、これに全国一律の介護保険料率(1.59%)が加わります。
あけましておめでとう御座います!本年も宜しくお願い致します。
算定基礎届・月額変更届及び賞与支払届のご提出をお忘れなく!!
全国最低賃金が変更されます!
算定基礎届とは、健康保険・厚生年金保険の被保険者が、現在の標準報酬月額(保険料を算出するために一定の幅で決められた月額)と実際に受ける報酬が大きくかけ離れないようにするために、毎年1回、7月に被保険者の給与額を届け出させて、それに基づいて新しい標準報酬月額を決定するための届です(定時決定)。
この届出は、毎年7月1日現在の被保険者を対象に行われますが、6月中旬頃より年金事務センター(または健康保険組合)から事業所へ書類一式が送られています。
【算定基礎届を届出用紙で提出する場合(協会けんぽ)】
1. 算定基礎届
2. 厚生年金保険70歳以上被用者算定基礎届(対象者がいる場合)
算定基礎届等の提出期間は、7月1日~10日までです。
昇給が4月という会社様も多いと思われますので、その場合、月額変更届の提出の対象となる従業員さんに対してもお気をつけ下さい。
この届出書の作成及び届出をくれぐれもお忘れないように。
また、賞与支給の時期でもありますので、併せて賞与支払届のご提出もお忘れなく。